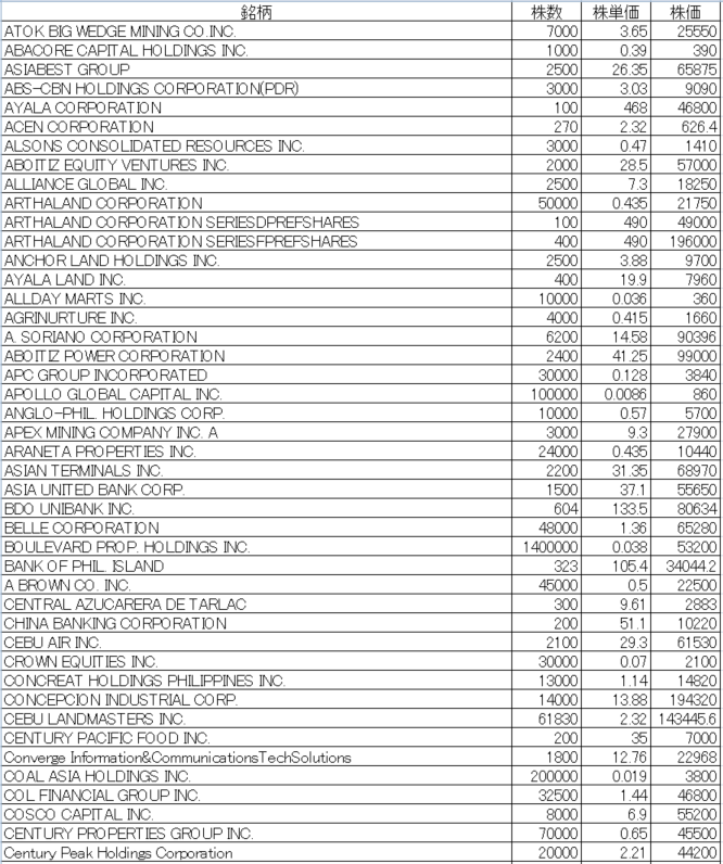
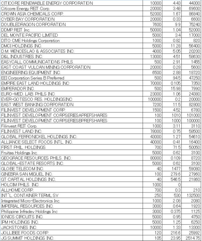
フィリピン株2025年10月末の保有内容
10月末現在で163銘柄4,281,122株を保有し、評価額は5,937,629.25ペソ
その他にファンドが11341.65ペソ、社債、国債が1,570,000ペソ、Cashが459,092.25ペソ
合計は7,911,424.86ペソ
含益は911,424.86ペソ(過去の配当の合計633,594.82ペソを含む)。運用期間60ヶ月。年利にすると2.60%。先月から大幅に下がってますね。何があったのでしょうか、平均株価も6000ペソ割っています。この急落は逆にチャンスかもです!
2023年6月末に高配当狙いで追加購入したものは現在どうなっているか?
MWIDE 購入株数30000 株価3.28ペソ ⇒現在3.07
PLC 購入株数200000 株価0.55ペソ ⇒現在0.71
TEL 購入株数90 株価1340ペソ ⇒現在1132
LTG 購入株数11000 株価9.47ペソ ⇒現在14.34
PPC 購入株数20000 株価5.16ペソ ⇒現在12.88
MWIDEが急に復活!・・・TELも落ちたまま。それ以外全部あがってますね。さすが高配当株安定してます。いい感じで推移していますね。
2025年1月末に高配当狙いで追加購入したものは現在どうなっているか?
AEV 購入株数800 株価33.00ペソ ⇒現在27.60
ALCO 購入株数10000 株価0.34ペソ ⇒現在0.420
ATI 購入株数1000 株価16.50ペソ ⇒現在31.00
CIC 購入株数1000 株価13.30ペソ ⇒現在13.18
CLI 購入株数5000 株価2.62ペソ ⇒現在2.30
COSCO 購入株数3000 株価5.35ペソ ⇒現在7.00
CROWN 購入株数5000 株価1.65ペソ ⇒現在1.63
DDMPR 購入株数10000 株価1.06ペソ ⇒現在1.03
EURO 購入株数20000 株価0.78ペソ ⇒現在1.05
EW 購入株数2000 株価9.85ペソ ⇒現在11.48
FLI 購入株数20000 株価0.72ペソ ⇒現在0.74
FPH 購入株数300 株価58.50ペソ ⇒現在71.00
MAXS 購入株数9000 株価2.47ペソ ⇒現在2.40
MREIT 購入株数1000 株価13.48ペソ ⇒現在14.00
MRSGI 購入株数10000 株価1.18ペソ ⇒現在1.14
PCOR 購入株数9000 株価2.43ペソ ⇒現在2.31
RLC 購入株数1000 株価12.66ペソ ⇒現在14.88
SECB 購入株数300 株価72.00ペソ ⇒現在72.00
SGI 購入株数10000 株価0.98ペソ ⇒現在1.28
SPC 購入株数2000 株価8.98ペソ ⇒現在7.85
TEL 購入株数20 株価1310.00ペソ ⇒現在1132
だいぶ分散させましたが、基本上がってます。さすが高配当株!
今後どうなるかな!?目指せ利益1,000,000ペソ(達成してるので次は目指せ2M!)&毎月配当25000円!






